Indices

Rules of indices: Multiplying

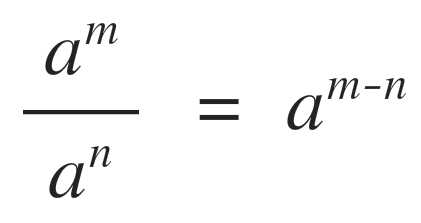
Rules of Indices: Dividing

Rules of Indices: Raising to another power

Anything to the power of zero

Rules of indices: Negative index

Rules of indices: Unit fractional index

Rules of Indices: Any fractional index